Home

This is my personal website to show my project, study, and hobbies. I am open to new things. Now I am looking for an internship opportunity. If you are interested in my experiences and would like to communicate with me, please feel free to contact me via My email. Here is My linkedin page.

About

I obtained Bachelor of Science in Geophysics at Wuhan University. Now I am a specialized master student in Computational Science at University of Zurich. I am passionate about signal processing, Machine learning, Dynamical system, and High-performance Computing! Sometimes I will post some personal blogs about my study and experiences.

Project

Here I would like to share my project experiences about Geophysics and Gravitational Wave.

Measurement of the Central Galactic Black Hole by Extremely Large Mass-Ratio Inspirals

The outcome of the project is published on Symmetry 2022, 14(12).

Likelihoods of (δ1, δM/M), (δ1, δa/a), (δ1, δ2), (δ2, δM/M), (δ2, δa/a), (δa/a, δM/M) derived from the Fisher matrix of X-MRI 01. The black dashed eclipses show the 3σ confidence level. The upper and the four right-hand panels show the marginalized probability distribution for 𝛿1, 𝛿2, 𝛿𝑎/𝑎 and 𝛿M/M, respectively.

The relation between the parameter estimation accuracy of mass, distance and deformation and the X-MRI signal number.

The relation between the parameter estimation accuracy of spin and the X-MRI signal number.

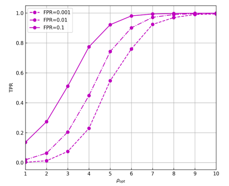
Gravitational-Wave (GW) signal detection based on Deep Learning Model

The process of whitening a GW signal

Generate a GW signal sample with Gaussian White Noise Background

The efficiency plot for the GW signal detection task

Course

Here I would like to share some interesting course tasks I ever met.

Gull's Lighthouse Problem

The problem description and the corresponding solution analysis are explained in this blog post.

Conway's Game of Life

The problem discription is explained in relevant Wiki page.

Burgers' equation

Burgers' equation is a non-linear hyperbolic equation occurring in various areas of applied mathematics. MacCormack scheme and Richtmyer/Lax–Wendroff method are the finite-difference methods (FDM) applied to this problem. In addition, Physics-informed neural networks (PINNs) provide another possible scheme for this problem.

Results of different finite-difference methods applied to Burgers' equation

Study

Here I would like to share some models and techniques I am interested in.

Long short-term memory

Hobbies

I love hiking, cooking, reading, and writing! During the weekend, I usually go hiking around Zurich city but sometimes I would randomly pick a city to explore.

A souvenir photo of me standing under a tree during Niederurner Hiking Journey (November 18, 2023)

I observed the Sea of Fog during the Lägern Ridge Hiking Journey (December 16, 2023)